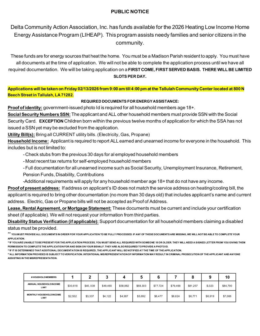
Delta Community Action Association, Inc. will accept applications Friday for the 2026 Heating Low Income Home Energy Assistance Program (LIHEAP) for Madison Parish residents
Applications will be taken from 9 a.m. to 4 p.m. Feb. 13 at the Tallulah Community Center, 800 N. Beech St., Tallulah